3 /-\ Г /-\ D К |/| !?
-
- Реклама
- BestMan
- Сообщения: 43
- Зарегистрирован: Ср янв 26, 2011 11:44 am
- Репутация: 0
- Модель: A8 3.0 TDI 2005 г.
- Мотор: ASB
- Город: Калининград
- Имя: Александр
- Откуда: Калининград
Re: 3 /-\ Г /-\ D К |/| !?
Назовите слово, в котором три буквы "Е" подряд ?
- SergeZ
- Почетный член Клуба
- Сообщения: 3520
- Зарегистрирован: Пн мар 15, 2010 3:24 pm
- Репутация: 90
- Модель: A8 1999
- Мотор: AQF->AQH
- Город: Тула
- Имя: Сергей
Re: 3 /-\ Г /-\ D К |/| !?
Длинношеее
-
filosof
- Почетный член Клуба
- Сообщения: 4913
- Зарегистрирован: Вс ноя 30, 2008 8:02 pm
- Награды: 1
- Репутация: 109
- Модель: _
- Мотор: _
- Город: Москва
- Имя: Виталик
- Контактная информация:
Re: 3 /-\ Г /-\ D К |/| !?
по моему,эта загадка уже была в этой теме. 
я в аудях не разбираюсь..поэтому и езжу на метро..
- Rost08s
- Член Клуба
- Сообщения: 1267
- Зарегистрирован: Ср ноя 10, 2010 11:34 pm
- Репутация: 11
- Модель: S8 2000
- Мотор: AQH
- Город: Кривой Рог
- Имя: Ростислав
- Контактная информация:
Re: 3 /-\ Г /-\ D К |/| !?
Потому , что двое не удивились его цвету шапке ,так -как у них тоже белые.Тем самым подошел мудроfilosof писал(а):Сами напросились![]()
итак,серьезная загадка:
предисловие(интригую);
за 10 лет,которые я знаю эту загадку,она была загадана мной нескольким сотням человек.разного возраста,пола,образования.Отгадали эту загадку только 2 человека:я и мой знакомый советник президента Южной Осетии.Хотел послать ее на что,где ,когда,но не стал.Впервые она была загадана профессором математики на курсе программистов,отгадать ее не смогли ,один из студентов(мой друг) и загадал ее мне.
Подсказка: в загадке нет подвохов и скрытых смыслов слов,чистая логика.
загадка:
Сидели три мудреца и спорили-кто из них мудрей.Мимо проходил пастух и услышал спор.Он предложил рассудить их спор и сказал;"у меня в мешке 5 шапок,из которых три белые и 2 черные,я завяжу вам глаза и одену каждому на голову шапку,того цвета ,какого захочу.После этого спрячу оставшиеся 2 шапки в мешок.Тот из вас,кто первым догадается,какого цвета на его голове шапка - тот и самый мудрый."
После чего,пастух завязал глаза мудрецам и одел каждому на голову по белой шапке.Оставшиеся 2 черные шапки спрятал в мешок.Далее,развязал глаза мудрецам,они посмотрели друг на друга и задумались.Один мудрец ,подумав ,сказал:"на мне белая шапка".(он знал это точно)
вопрос;Как он догадался?
даю вам на решение этой загадки 3 суток( у меня ушло 15 минут),думаю и надеюсь вы справитесь,удачи!
- Rost08s
- Член Клуба
- Сообщения: 1267
- Зарегистрирован: Ср ноя 10, 2010 11:34 pm
- Репутация: 11
- Модель: S8 2000
- Мотор: AQH
- Город: Кривой Рог
- Имя: Ростислав
- Контактная информация:
Re: 3 /-\ Г /-\ D К |/| !?
На двух были черные шляпы

- Rost08s
- Член Клуба
- Сообщения: 1267
- Зарегистрирован: Ср ноя 10, 2010 11:34 pm
- Репутация: 11
- Модель: S8 2000
- Мотор: AQH
- Город: Кривой Рог
- Имя: Ростислав
- Контактная информация:
Re: 3 /-\ Г /-\ D К |/| !?
Дело в том, если на каком-либо из мудрецов будет надет черный шапка , то его шансы на правильный ответ будут меньше, чем у двух других , но шансы у всех должны быть одинаковы, а одинаковы они могут быть лишь в том случаи когда на всех надеты белые шапки ! Следовательно,самый мудрейший поймет это и ответит, что на нем одет белая шапка ! 
-
vitek17
- Сообщения: 28
- Зарегистрирован: Вт окт 04, 2011 2:35 pm
- Репутация: 0
- Модель: -
- Мотор: -
- Город: Саратов
Re: 3 /-\ Г /-\ D К |/| !?
Трое мужчин приехали в отель и сняли комнату. Клерк с каждого взял по 10$.
Потом клерк понял, что ошибся и послал коридорного вернуть 5$.
Коридорный понял, что 5 на 3 не делиться и вернул по 1$ каждому, а 2 оставил себе.
Итого получаем:
10$ с каждого
1$ возвращаем
3*9=27$ заплатили мужчины
2$ у коридорного
2+27=29
было 30
где еще 1$ ?
Потом клерк понял, что ошибся и послал коридорного вернуть 5$.
Коридорный понял, что 5 на 3 не делиться и вернул по 1$ каждому, а 2 оставил себе.
Итого получаем:
10$ с каждого
1$ возвращаем
3*9=27$ заплатили мужчины
2$ у коридорного
2+27=29
было 30
где еще 1$ ?
- Rusmart
- Член Клуба
- Сообщения: 995
- Зарегистрирован: Чт ноя 05, 2009 1:01 pm
- Репутация: 39
- Модель: Audi Q5
- Мотор: 2.0Т
- Город: Королев, Переделкино
- Имя: Дон Алехандро
Re: 3 /-\ Г /-\ D К |/| !?
Ну это сродни примеру про 140 баксов и 2 шоколадки
В свое время пытался решать такие задачи путем применения бухгалтерского баланса, иначе и вправду не выходит... А так имеем, что мужики-то на самом заплатили не 27, а 25 рублей, то есть каждый заплатил на момент возврата 5 рублей по 8 и 1/3 рубля, плюс получили по рублю, значит стало 9 и 1/3 рублей, умножаем на 3 и получаем 28, плюс еще 2 рубля, что зажал коридорный и вуаля - вот они 30 рублей
То есть само по себе утверждение, что они заплатили 3*9=27 рублей изначально не верно... Ну и отсюда со всеми вытекающими
Я прошу прощения, слегка ром-кола куражит сознание, не могу найти серьезных доводов в защиту своего решения 
Попробовав лишь однажды Quattro, останешься верен ему навсегда...
- Rusmart
- Член Клуба
- Сообщения: 995
- Зарегистрирован: Чт ноя 05, 2009 1:01 pm
- Репутация: 39
- Модель: Audi Q5
- Мотор: 2.0Т
- Город: Королев, Переделкино
- Имя: Дон Алехандро
Re: 3 /-\ Г /-\ D К |/| !?
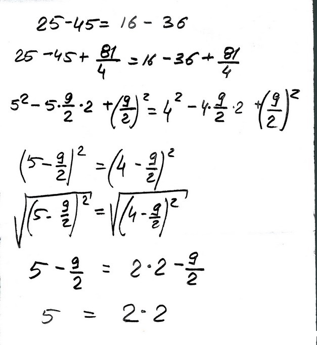
А вот тоже интересная тема!
В миру существует доказательство того, что 2*2=5! Формулы все простые и известные нам еще со времен школьной алгебры! И ведь все сходится, но получается тогда, что все мироустройство катится в тар-тарары, если и вправду 2*2=5
Где здесь подвох, господа?
Вот то же самое решение, только расписанное доступным языком:
1) 20 = 20
Отсюда следует верное равенство [1] 36 - 16 = 45 - 25.
Отсюда следует также верное равенство [2] 16 - 36 = 25 - 45.
2) Если прибавить к обеим частям равенства дробь 81/4 или (9/2)2,
то получится новое равенство
[3] 16 - 36 + (9/2)2 = 25 - 45 + (9/2)2.
3) Рассмотрим левую часть равенства [3].
Здесь 16 = 42 и 36 = 2 * 9/2 * 4.
Значит, 16 - 36 + (9/2)2 = 42 - (2*9/2*4) + (9/2)2.
А это по формуле (а - в)2 равно (4 - 9/2)2.
4) Рассмотрим правую часть равенства [3].
Здесь 25 = 52 и 45 = 2 * 9/2 * 5.
Значит, 25 - 45 + (9/2)2 = 52 - (2*9/2*5) + (9/2)2.
А это по формуле (а - в)2 = (5 - 9/2)2.
5) Перепишем равенство [3] с новыми данными из пунктов 3 и 4. Имеем:
[4] (4 - 9/2)2 = (5 - 9/2)2.
6) Избавимся от квадратов, подставив обе части равенства [4] под знак корня. Имеем:
[5] 4 - 9/2 = 5 - 9/2.
7) Избавимся от дроби (- 9/2), прибавив к обеим частям равенства [5] дробь 9/2. Имеем:
[6] 4 = 5
или же 2 * 2 = 5.
В миру существует доказательство того, что 2*2=5! Формулы все простые и известные нам еще со времен школьной алгебры! И ведь все сходится, но получается тогда, что все мироустройство катится в тар-тарары, если и вправду 2*2=5
1) 20 = 20
Отсюда следует верное равенство [1] 36 - 16 = 45 - 25.
Отсюда следует также верное равенство [2] 16 - 36 = 25 - 45.
2) Если прибавить к обеим частям равенства дробь 81/4 или (9/2)2,
то получится новое равенство
[3] 16 - 36 + (9/2)2 = 25 - 45 + (9/2)2.
3) Рассмотрим левую часть равенства [3].
Здесь 16 = 42 и 36 = 2 * 9/2 * 4.
Значит, 16 - 36 + (9/2)2 = 42 - (2*9/2*4) + (9/2)2.
А это по формуле (а - в)2 равно (4 - 9/2)2.
4) Рассмотрим правую часть равенства [3].
Здесь 25 = 52 и 45 = 2 * 9/2 * 5.
Значит, 25 - 45 + (9/2)2 = 52 - (2*9/2*5) + (9/2)2.
А это по формуле (а - в)2 = (5 - 9/2)2.
5) Перепишем равенство [3] с новыми данными из пунктов 3 и 4. Имеем:
[4] (4 - 9/2)2 = (5 - 9/2)2.
6) Избавимся от квадратов, подставив обе части равенства [4] под знак корня. Имеем:
[5] 4 - 9/2 = 5 - 9/2.
7) Избавимся от дроби (- 9/2), прибавив к обеим частям равенства [5] дробь 9/2. Имеем:
[6] 4 = 5
или же 2 * 2 = 5.
Попробовав лишь однажды Quattro, останешься верен ему навсегда...
-
Andryuxa
- Почетный член Клуба
- Сообщения: 3721
- Зарегистрирован: Пн фев 15, 2010 3:05 pm
- Репутация: 145
- Модель: Audi Q8
- Мотор: CJG
- Город: Москва
- Имя: Андрей
- Контактная информация:
Re: 3 /-\ Г /-\ D К |/| !?
Полторы селедки стоят полторы копейки. Сколько стоят 10 селедок?
不要紧,这是你的车是什么,主要的东西 — 在烤架上的四个环…
-
soslan
- Член Клуба
- Сообщения: 3245
- Зарегистрирован: Пн окт 18, 2010 10:49 am
- Награды: 1
- Репутация: 20
- Модель: VAG
- Мотор: АКЕ
- Город: 15RAZ
- Имя: Сослан
Re: 3 /-\ Г /-\ D К |/| !?
75 копеек

-
Кучерявый
- Почетный член Клуба
- Сообщения: 4547
- Зарегистрирован: Ср июн 04, 2008 8:44 am
- Награды: 1
- Репутация: 75
- Модель: А8, 1998
- Мотор: AKH, 4200, МКПП
- Город: Тула
- Имя: Дмитрий
Re: 3 /-\ Г /-\ D К |/| !?
Адын палка, два струна - я паю пра свой страна!
Кто это?

Кто это?
-
petroff
- Почетный член Клуба
- Сообщения: 3754
- Зарегистрирован: Вс окт 05, 2008 1:16 am
- Награды: 1
- Репутация: 89
- Модель: горные лыжи
- Мотор: гороховый
- Город: сабакинск
- Имя: Сергей
Re: 3 /-\ Г /-\ D К |/| !?
Rusmart писал(а):А вот тоже интересная тема!
В миру существует доказательство того, что 2*2=5! Формулы все простые и известные нам еще со времен школьной алгебры! И ведь все сходится, но получается тогда, что все мироустройство катится в тар-тарары, если и вправду 2*2=5Где здесь подвох, господа? Вот то же самое решение, только расписанное доступным языком:
1) 20 = 20
Отсюда следует верное равенство [1] 36 - 16 = 45 - 25.
Отсюда следует также верное равенство [2] 16 - 36 = 25 - 45.
2) Если прибавить к обеим частям равенства дробь 81/4 или (9/2)2,
то получится новое равенство
[3] 16 - 36 + (9/2)2 = 25 - 45 + (9/2)2.
3) Рассмотрим левую часть равенства [3].
Здесь 16 = 42 и 36 = 2 * 9/2 * 4.
Значит, 16 - 36 + (9/2)2 = 42 - (2*9/2*4) + (9/2)2.
А это по формуле (а - в)2 равно (4 - 9/2)2.
4) Рассмотрим правую часть равенства [3].
Здесь 25 = 52 и 45 = 2 * 9/2 * 5.
Значит, 25 - 45 + (9/2)2 = 52 - (2*9/2*5) + (9/2)2.
А это по формуле (а - в)2 = (5 - 9/2)2.
5) Перепишем равенство [3] с новыми данными из пунктов 3 и 4. Имеем:
[4] (4 - 9/2)2 = (5 - 9/2)2.
6) Избавимся от квадратов, подставив обе части равенства [4] под знак корня. Имеем:
[5] 4 - 9/2 = 5 - 9/2.
7) Избавимся от дроби (- 9/2), прибавив к обеим частям равенства [5] дробь 9/2. Имеем:
[6] 4 = 5
или же 2 * 2 = 5.
В четвертой строке вычислений, потерян знак минус, вследствие возведения в квадрат, который не может быть отрицательным, соответственно подвоха здесь никакого, сплошная математическая ошибка и желание подогнать желаемое под действительное...
-
petroff
- Почетный член Клуба
- Сообщения: 3754
- Зарегистрирован: Вс окт 05, 2008 1:16 am
- Награды: 1
- Репутация: 89
- Модель: горные лыжи
- Мотор: гороховый
- Город: сабакинск
- Имя: Сергей
Re: 3 /-\ Г /-\ D К |/| !?
АкынКучерявый писал(а):Адын палка, два струна - я паю пра свой страна!
Кто это?![]()
![]()
- Rusmart
- Член Клуба
- Сообщения: 995
- Зарегистрирован: Чт ноя 05, 2009 1:01 pm
- Репутация: 39
- Модель: Audi Q5
- Мотор: 2.0Т
- Город: Королев, Переделкино
- Имя: Дон Алехандро
Re: 3 /-\ Г /-\ D К |/| !?
Серег, чего-то никак не усмотрю где это.. Можешь выделить? А то я всю голову сломал - сходится и все тутpetroff писал(а):В четвертой строке вычислений, потерян знак минус, вследствие возведения в квадрат, который не может быть отрицательным,
Попробовав лишь однажды Quattro, останешься верен ему навсегда...
-
petroff
- Почетный член Клуба
- Сообщения: 3754
- Зарегистрирован: Вс окт 05, 2008 1:16 am
- Награды: 1
- Репутация: 89
- Модель: горные лыжи
- Мотор: гороховый
- Город: сабакинск
- Имя: Сергей
Re: 3 /-\ Г /-\ D К |/| !?
Вот тут...petroff писал(а):5) Перепишем равенство [3] с новыми данными из пунктов 3 и 4. Имеем:
[4] (4 - 9/2)2 = (5 - 9/2)2.
Потеря знака, при доказательстве теоремы - моветон...
-
petroff
- Почетный член Клуба
- Сообщения: 3754
- Зарегистрирован: Вс окт 05, 2008 1:16 am
- Награды: 1
- Репутация: 89
- Модель: горные лыжи
- Мотор: гороховый
- Город: сабакинск
- Имя: Сергей
Re: 3 /-\ Г /-\ D К |/| !?
А что с шапками? Виталий философ, мы уже знаем, что ты и президент Вашей республики самые умные, ответ-то где?
-
Кучерявый
- Почетный член Клуба
- Сообщения: 4547
- Зарегистрирован: Ср июн 04, 2008 8:44 am
- Награды: 1
- Репутация: 75
- Модель: А8, 1998
- Мотор: AKH, 4200, МКПП
- Город: Тула
- Имя: Дмитрий
Re: 3 /-\ Г /-\ D К |/| !?
Акин, да простят меня модераторы!petroff писал(а):АкынКучерявый писал(а):Адын палка, два струна - я паю пра свой страна!
Кто это?![]()
![]()
-
petroff
- Почетный член Клуба
- Сообщения: 3754
- Зарегистрирован: Вс окт 05, 2008 1:16 am
- Награды: 1
- Репутация: 89
- Модель: горные лыжи
- Мотор: гороховый
- Город: сабакинск
- Имя: Сергей
Re: 3 /-\ Г /-\ D К |/| !?
А почему АкИн? Он же акын?*
-
Кучерявый
- Почетный член Клуба
- Сообщения: 4547
- Зарегистрирован: Ср июн 04, 2008 8:44 am
- Награды: 1
- Репутация: 75
- Модель: А8, 1998
- Мотор: AKH, 4200, МКПП
- Город: Тула
- Имя: Дмитрий
Re: 3 /-\ Г /-\ D К |/| !?
Да Акын, Акын... шютка это просто.petroff писал(а):А почему АкИн? Он же акын?*
-
filosof
- Почетный член Клуба
- Сообщения: 4913
- Зарегистрирован: Вс ноя 30, 2008 8:02 pm
- Награды: 1
- Репутация: 109
- Модель: _
- Мотор: _
- Город: Москва
- Имя: Виталик
- Контактная информация:
Re: 3 /-\ Г /-\ D К |/| !?
за комплимент конечно спасибоpetroff писал(а):италий философ, мы уже знаем, что ты и президент Вашей республики самые умные, ответ-то где?
про шапки ,первый отгадал Витасpetroff писал(а):А что с шапками?
я в аудях не разбираюсь..поэтому и езжу на метро..
- Rusmart
- Член Клуба
- Сообщения: 995
- Зарегистрирован: Чт ноя 05, 2009 1:01 pm
- Репутация: 39
- Модель: Audi Q5
- Мотор: 2.0Т
- Город: Королев, Переделкино
- Имя: Дон Алехандро
Re: 3 /-\ Г /-\ D К |/| !?
Почему? Нету там никакой потери знака, (а-в) = а2 - 2ав + в2 - все верноpetroff писал(а):Вот тут...petroff писал(а):5) Перепишем равенство [3] с новыми данными из пунктов 3 и 4. Имеем:
[4] (4 - 9/2)2 = (5 - 9/2)2.
Потеря знака, при доказательстве теоремы - моветон...
Попробовав лишь однажды Quattro, останешься верен ему навсегда...
-
petroff
- Почетный член Клуба
- Сообщения: 3754
- Зарегистрирован: Вс окт 05, 2008 1:16 am
- Награды: 1
- Репутация: 89
- Модель: горные лыжи
- Мотор: гороховый
- Город: сабакинск
- Имя: Сергей
Re: 3 /-\ Г /-\ D К |/| !?
Ну нет, значит нет...






